Peatükk 18 Tajukatsed Praatis

Tajufoneetika kirjeldab seda, kuidas inimene kuuldud akustilisest signaalist info kinni püüab ja seda töötleb: kuidas kõrv tõlgib helilaine ajule elektriimpulssideks, kuidas ning kus aju seda töötleb ja mis selles signaalis keeleliselt olulist on. Ka kõneakustikat kirjeldades tasub arvestada, kas kirjeldatavad nähtused on tajutavad – akustilisest signaalist võib leida finesse, mida küll mõõteriistad registreerivad, aga mis ei ole piisavalt suured, et inimene erinevust tajuks või erinevustele keelelisi kategooriaid eristava tähenduse oskaks anda. Samuti uurib tajufoneetika, kuidas inimene keelt omandab – nii emakeelena kui ka teise keelena.

Tajulävi on piir, kustmaalt inimene hakkab mingit signaali tajuma. Tajulävest on olnud juttu peatükis 3. Heli valjuse tajulävi on 20 µPa. Helikõrguse puhul ei ole tajulävi samal viisil defineeritav, sest kuigi inimene kuuleb helikõrgusi alates umbes 16 hertsist, võivad madalamad helid olla tajutavad vibratsioonina.

Eristuslävi on piir, kustmaalt inimene tajub, et kaks signaali on millegi poolest erinevad. Heli intensiivsuse eristuslävi on umbes 1 dB, helikõrguste eristuslävi algab umbes 5 tsendist (0,05 pooltooni), kuid siin on väga suured individuaalsed erinevused. Samuti sõltub eristamisvõime palju baastasemest, kus võrdlus toimub, ning pigem hinnatakse kahe signaali vaadeldava suuruse suhet kui erinevust absoluutväärtustes. Näiteks kui üks signaal kestab 1 sekundi ja teine signaal 2 sekundit, siis seda ilmselt tajutakse erineva pikkusena, aga kui üks signaal kestab 101 sekundit ja teine 102 sekundit, siis tajutakse signaale samapikkustena.

Lisaks universaalsetele tajumehhanismidele, mis sõltuvad inimkõrva ja -aju ehitusest, on ka väga palju keelespetsiifilisi nähtusi. Kategooriad, mis ühes keeles on olulised, ei pruugi seda mõnes teises keeles olla, või kasutatakse samu kategooriaid erinevate nähtuste edasiandmiseks. Kui prosoodia puhul oli juttu rõhuajastus- ja silbiajastuskeeltest, siis see on suurepärane näide sellest, kuidas samu kategooriaid kasutatakse keeltes erinevalt. Näiteks vene keeles, mis on rõhuajastuskeel, märgivad nii kestus, intensiivsus kui ka vokaalikvaliteet rõhku, mistõttu on vene keele emakeelena kõnelejatel raske eesti keele esmavältelisi sõnu hääldada, kuna siin on rõhk esimesel silbil, aga esimese silbi vokaal lühike ja teise silbi sellest pikem.

Kõnetaju kõige lihtsam ja odavam uurimismeetod on käitumuslik kuulamiskatse: katseisik kuuleb kõrvaklappidest stiimuleid (mis on kas sünteesitud või pärit loomulikust kõnest) ja peab otsustama, mida ta kuulis. Lisaks katseisiku vastustele võib keeleliste protsesside töötlemise kohta anda infot reaktsiooniaeg, st aeg, mis kulub katseisikul stiimuli kuulmisest vastuse andmiseni.

Küllalt palju kasutatakse kõnetaju uurimisel ka keerukamaid aparaate, näiteks silmaseire või elektroentsefalograafia (EEG) jms, mis võimaldab mõõta seda, kuidas aju kõnesignaali töötleb. Selliste meetoditega saab uurida teadvustamata protsesse.

Käitumuslike katsete puhul võib katsedisaini põhjal eristada identifikatsiooni- ning diskriminatsioonikatseid. Identifikatsioonikatses on katseisiku ülesanne määrata kuuldud stiimuli kategooria. Diskriminatsioonikatses esitatakse katseisikule stiimulipaare ja ülesanne on määrata, kas kuuldud stiimulid olid sarnased või erinevad.

18.1 Tajukatse koostamine

Siin peatükis kasutame Praati objekti ExperimentMFC, millega saab kuulamiskatseid teha. Lühend MFC tähendab Multiple Forced Choice ehk mitme sundvalikuga eksperiment. ExperimentMFC’ga on suhteliselt lihtne katset kokku panna ja läbi viia, aga selle võimalused on piiratud.

Alternatiivsetest võimalustest, mida me siin peatükis ei käsitle, saab hea ülevaate Praati ExperimentMFC juhendist. Keerukamate katsete jaoks saab kasutada Praati Demoakent, aga selleks on vaja natuke Praati skriptikeelt tunda (vt ptk 19 ja 20, demoskripti näide ptk 20.12).

Kahjuks ei ole Praatis graafilise kasutajaliidesega ExperimentMFC-toimetajat. ExperimentMFC on oma olemuselt tekstifail, mis koosneb väga kindlatest ja piiratud valikutega elementidest. Eksperimendifail tuleb üles seada mõnes lihtsas tekstiredaktoris, nt Notepad või Notepad++. Katsefaili toimetamiseks ei maksa kasutada Wordi, sest vaikimisi see vormindab teksti (nt stiliseerib jutumärke, muudab uuel real sõna algustähe suureks jms) ja keerab sellega eksperimendifaili tuksi. Faili toimetamiseks sobib aga hästi ka Praati skriptitoimeti (vt Praati objektiaknas menüüst Praat > New Praat script...). Skriptitoimetis ei saa ainult testi jooksutada käsuga Run, vaid fail tuleb salvestada ja avada objektiaknas käsuga Read from file....

Emfc-failis peavad olema kindlad elemendid kindlas järjekorras. Kõiki ExperimentMFC võimalusi õpetatakse kasutama Praati manuaalis (otsi märksõnaga ExperimentMFC). Teeme järgnevalt harjutamiseks tajukatse, kus esitame katseisikule sünteesitud vokaale ja palume neid kategoriseerida.

18.1.1 Stiimulid

Stiimulitena kasutame eelmises peatükis kirjeldatud formantsünteesi abil genereeritud vokaalikontiinumit (vt ptk 17.3). Seitsmes stiimulis muutub F1 väärtus sammuga 100 Hz (vahemikus 200–800 Hz) ja samal ajal F2 väärtus langeb sammuga 100 Hz (vahemikus 2700–2000 Hz). F3 väärtus ei muutu, see on kõigis stiimulites 2750 Hz. Seega võiks stiimulid esindada eesvokaale /i/-st /æ/-ni.

Tõmba need failid alla või sünteesi ise (lähtudes ptk 17.3 juhistest) ja salvesta kausta, millele pane nimeks stiimulid.

Kui kasutad stiimulitena lõike erinevatest salvestustest, siis võivad need olla erineva valjusega. Sellisel juhul oleks mõistlik stiimulite amplituud ühtlustada ja üks võimalus selleks oleks skaleerida failide maksimumid samale tasemele. Selleks vali Sound-objekti dünaamilisest menüüst Modify > Scale peak.... Vaikimisi väärtus 0,99 seab maksimumi nii, et see jääks üsna faili võimaliku maksimumamplituudi lähedale. Seejärel tuleks Sound-objektid uuesti salvestada käsuga Save as WAV file.... Samuti tuleks eri salvestustest pärit stiimulfailide puhul jälgida seda, et failid oleksid sama kanalite arvu ja resolutsiooniga (vt ptk 18.3).

18.1.2 ExperimentMFC faili kirjutamine

Nüüd ava Notepad++ või Praati skriptitoimeti (Praati menüü Praat > New Praat script) või mõni endale meelepärane tekstiredaktor. Ära aga kasuta selleks Wordi, sest see stiliseerib jutumärke ja muudab rea alguses tähti suureks (kui sul need funktsioonid just välja pole lülitatud), see aga põhjustab katseskriptis vigu ja katset on raske tööle saada.

Pane tähele, et järgnevas õpetuses on halli taustaga tekstikastides read, mis tuleb tajutesti faili kirjutada. Need read peavad failis olema justnimelt selles järjekorras, nagu nad siin tulevad, ühtegi rida ei tohi vahele jätta, aga neid ei või ka topelt olla. Mõnes kohas on siin tekstis välja toodud sama käsurea eri variandid, neist tuleks katsefaili kopeerida üks, mitte mõlemad.

Faili päises peavad alati olema järgmised kaks rida, mis määravad failitüübi:

"ooTextFile"
"ExperimentMFC 7"

Kas ekraan läheb pimedaks stiimuli esitamise ajal? Meie katses ütleme, et ei, siis katseisik näeb vastusevariante juba stiimuli kuulamise ajal.

blankWhilePlaying? <no>

Seejärel küsitakse, kas stiimulid on helid. Vastusevariandid on <yes> või <no> ehk jah või ei. Meie katses on stiimulid helid, aga põhimõtteliselt on võimalik teha katse, kus stiimuliks on tekst ja vastusevariandid on helid.

stimuliAreSounds? <yes>

Kaust, kus stiimulid on:

stimulusFileNameHead = "stiimulid/" 

Täisaadressi (nt "C:\Users\partel\Desktop\tajukatse\stiimulid\") asemel võib ka kasutada relatiivset aadressi, st kui see Emfc-fail on ise näiteks kaustas „tajukatse“ ja stiimulid selle alamkataloogis „stiimulid“, siis piisab, kui kirjutada aadressiks "stiimulid\". Relatiivse aadressi kasutamise eelis on see, et kui tahad katset jooksutada mitmes arvutis, siis võid tõsta terve katsekausta teise arvutisse (kus võib-olla on teine operatsioonisüsteem ja kasutajanimi) ning katse võiks töötada ilma täiendava ümberseadistamiseta. Siin maksab ka tähele panna, et kausta eraldaja, mis Windowsis on tagurpidi kaldkriips \, on üldiselt teistes operatsioonisüsteemides (Mac, Linux) tavaline kaldkriips /. Praatis on kindlam kasutada tavalist /, Windowsis oskab Praat ka / sümboliga eristatud kaustades orienteeruda, teistes operatsioonides annab \ aga veateate.

Järgmisel real tuleb määrata stiimulfailide laiend (mis enamasti on .wav, või mis iganes helifailiformaat, mida Praat lugeda oskab):

stimulusFileNameTail = ".wav"

Stiimulsõnale on võimalik panna raamlause ümber, see tähendab, et kõikide stiimulite ette mängitakse ühte helifaili ja järele teist helifaili. Nii on võimalik näiteks salvestada raamlause, näiteks Kuuled … häälikut, salvestada sõna kuuled ühe failina ja häälikut teise failina ning stiimulit esitades kleebitakse lausung tükkidest kokku. Siin näites me raamlauset ei kasuta ja jätame neil ridadel jutumärgid tühjaks.

stimulusCarrierBefore = ""
stimulusCarrierAfter = "" 

Stiimulile eelneva ja järgneva pausi pikkus:

stimulusInitialSilenceDuration = 0.5 seconds
stimulusMedialSilenceDuration = 0
stimulusFinalSilenceDuration = 0.5 seconds

Stiimulite arv ja nende failinimed (failinimedel pole laiendit vaja kirjutada, sest see .wav on juba eraldi real kirjas):

numberOfDifferentStimuli = 7
"stim_F1_200" "" 
"stim_F1_300" "" 
"stim_F1_400" "" 
"stim_F1_500" "" 
"stim_F1_600" "" 
"stim_F1_700" "" 
"stim_F1_800" "" 

Tagumised jutumärgid on juhuks, kui tahad ekraanile nende kohta mingit teksti kuvada, mis iga stiimuli korral on erinev. See tekst on see küsimus, mida katseisikult küsitakse (näiteks „Kas kuuldud sõna oli a või b?“ või „Kas kuulsid erinevust“ vms). Kui siia jutumärkidesse midagi kirjutad, jäta runText jutumärgid tühjaks. Kui kõigil stiimulitel on tekst sama, jäta jutumärgid tühjaks ja testi ajal esitatav tekst määratakse runText realt (mis tuleb hiljem).

Korduste arv: mitu korda iga stiimulit katse jooksul esitatakse. See, kas stiimulid korduvad või mitte, sõltub katse disainist. Mõningatel juhtudel esitatakse igat üksikut stiimulit ühe korra, aga kategooria piire otsivate stiimulite puhul esitatakse sama stiimulit mitu korda, et testida, kas katseisik vastab süstemaatiliselt kindlal viisil või juhuslikult. Siin katses esitame iga stiimulit 5 korda.

numberOfReplicationsPerStimulus = 5

Kui stiimuleid on palju ja kordusi ka palju, võib katseisik väga ära väsida, sellepärast võib olla mõistlik katsesse mingi hulga stiimulite järel pausi tegemise võimalus sisse programmeerida. Järgmisel real saad määrata, mitme vastuse tagant pausi saab teha. Näiteks kui testis on 10 stiimulit 10 kordusega, peab katseisik 100 korda vastama. Kui tahad, et tal oleks testi jooksul võimalik 4 korda hinge tõmmata ja vetsus käia, pane väärtuseks 25. Kui pausi tegemist pole ette nähtud, pane siia 0. Meie katses on 7 stiimulit, mida korratakse 5 korda ehk kokku 35 stiimuli esitust ja selle võiks ka ilma pausideta jaksata läbi teha.

breakAfterEvery = 0

Enamasti on hea esitada stiimuleid juhuslikus järjekorras. See aitab vältida võimalust, et eelmised stiimulid korrapäraselt järgmist vastust mõjutavad. Näiteks meie katses on stiimulid genereeritud nii, et F1 kasvab ja F2 kahaneb 100 Hz sammuga ja kui neid esitada alati selles järjekorras, siis võib see järjekord katseisikule peale esimest ringi olla selge ja ta vastab alati samamoodi.

Randomiseerimiseks on mitmeid strateegiaid. Siin kasutame sellist juhuslikustamist, et kõiki stiimuleid esitatakse sama arv kordi juhuslikus järjekorras nii, et sama stiimuli kordused ei satu järjest (teiste võimaluste kohta vt Praati manuaalist):

randomize = <PermuteBalancedNoDoublets>

Eksperimendi käivitamise tekst, mida kuvatakse enne katse algust, kirjutatakse startText reale. See võib olla ainult üks lause või pikem instruktsioon.

startText = "Klõpsa hiirega, kui oled valmis alustama!" 

Kui tekst on pikem ja ühte ritta ära ei mahu, tuleb reavahetused testifailis ise teha, ridu automaatselt ei murta. Tekst peab olema jutumärkide vahel ega tohi sisaldada jutumärke, sest muidu tõlgendatakse teksti lõppu valesti. Jutumärkide asemel võib kasutada näiteks << ja >> kujulisi märke, mida võib kodeerida Praati erisümbolitena \<< ja \>>. Võib kasutada ka paksu kirja jms (## märgib paksu kirja algust ja # lõppu, %% ja % vastavalt kursiivi). Praati erimärkidest on juttu peatükis 7.2, vt lisaks ka Praati manuaali peatükke „Special symbols“ ja „Text styles“. Ekraanil näeb see välja nii, nagu on näha joonisel 18.1.

startText = "Tere tulemast katsesse!

Kuuled kõrvaklappidest eesti keele vokaale
ja pead otsustama, mis vokaaliga oli tegu.
Vastama pead ##kohe#, ära jää pikalt mõtlema.
%%Stiimuleid kuuled ainult ühe korra,%
%%uuesti mängimise võimalust ei ole.%

Klõpsa hiirega, kui oled valmis alustama!"
Avaekraan tajutesti käivitamisel.

Joonis 18.1. Avaekraan tajutesti käivitamisel.

Järgmisel real on tekst, mida kuvatakse ekraanil katse ajal. Siin peaks olema see küsimus, millele katseisik peab vastama (nt „Kas kuulsid a või b?“), nt:

runText = "Mis häälikut kuulsid?"

Kui lubad teha mingi arvu vastamiste järel pausi katse sees (mitme vastuse tagant, pead määrama mõni rida eespool), kuvatakse see tekst:

pauseText = "Võid teha väikese pausi. Klõpsa, et jätkata."

Kui pause ei ole ette nähtud (breakAfterEvery = 0), siis see rida peab ikkagi olemas olema, ainult jutumärkide sisu võib tühjaks jätta.

Tekst, mida kuvatakse siis, kui katse on lõppenud:

endText = "Katse on lõppenud. Aitäh osalemast!" 

Mõnikord on vaja, et katseisik teeks stiimulite kohta otsuse esmamulje põhjal, teinekord jälle peaks ta hoolega kuulama ja siis otsustama. Sellest sõltub, mitu korda on võimalik stiimulit uuesti kuulata. Siin katses tahame kiiresti esmamulje põhjal vastust saada, nii et kordusesituste arv on 0:

maximumNumberOfReplays = 0

Kui on võimalik uuesti kuulata, peab olema nupp, millele vajutades stiimulit uuesti mängitakse. Selle nupu asukoht ja suurus ekraanil tuleb määrata. Siin on ekraan määratud kahe teljega: alumine vasak nurk on väärtusega x=0 ja y=0, ülemine parem nurk x=1 ja y=1. St iga nupu asukoht on määratud nelja numbriga: x1 x2 y1 y2 ehk vasak-parem-alumine-ülemine külg. Kõik, mida ekraanil kuvatakse, on määratud koordinaatidega, mille väärtus jääb 0 ja 1 vahele. Kui tahame, et taasesitamise nupp oleks ekraanil all keskel, võiks x-telje väärtusteks panna 0,4–0,6 ja y-telje väärtusteks 0,1–0,2 (vt joonis 18.2).

replayButton = 0.4 0.6 0.1 0.2 "Mängi uuesti" "" 
Nuppude asukoht ekraanil x-y koordinaatidega.

Joonis 18.2. Nuppude asukoht ekraanil x-y koordinaatidega.

Esimeste jutumärkide sisu kuvatakse nupu peal tekstina, teiste jutumärkide vahel võib määrata mingi klahvi klaviatuurilt, mille vajutamine mõjub samamoodi nagu nupu peal hiirega klõpsamine. Taasesituse nupp kirjaga „Mängi uuesti” peaks ilmuma katseakna alla keskele ja olema nähtav seni, kuni sellele on vajutatud maksimaalselt lubatud arv kordi. Kuna aga meil on siin taasesituste maksimaalseks arvuks null, siis seda nuppu ei kuvata kordagi. Et nuppu ei tekiks, võib ka selle rea sisuks panna 0 0 0 0 "" "".

Kui test on selline, kus katseisik peab hoolega kuulama ja oma vastuse põhjalikult läbi kaaluma, tahad ehk lisada OK-nupu. Kui muidu läheb test edasi järgmise stiimuli mängimise juurde kohe, kui eelmisele on vastatud, siis OK-nupuga läheb test edasi alles OK-nuppu vajutades ja seni saab oma otsust muuta. Meie OK-nuppu ei kasuta ja et nuppu ei kuvataks, määrame nupu koordinaatideks nullid ja jätame jutumärgid tühjaks.

okButton = 0 0 0 0 "" ""

Ka võib lisada oih-nupu. Oih-nupuga saab katseisik ühe sammu võrra tagasi minna ja oma eelmise vastuse tagasi võtta. Siin katses me seda ei kasuta, nii et paneme jällegi nupu koordinaatideks nullid ning jätame tühjad jutumärgid.

oopsButton = 0 0 0 0 "" "" 

Meie katses praegu on otsused lõplikud: siimulit saab kuulata ühe korra ja kui vastusevariant valida, läheb katse järgmise stiimuli juurde ning tehtud otsuse tagasivõtmise võimalust ei ole. Pane aga tähele, et nii OK kui oih-nupu read on skriptis kohustuslikud, nad peavad failis õiges kohas olema ka siis, kui me neid nuppe ei kasuta.

Kui eespool oli küsimus, kas stiimulid on helid (meie katses jah), siis nüüd on küsimus, kas vastused on helid. On üks tüüp teste, kus stiimuliks võib olla kirjalikult (või ka helifailina) esitatud küsimus ja vastusevõimalusteks on erinevad helid (vaata selle kohta täpsemalt Praati manuaalist ExperimentMFC peatükist). Meie katses praegu on vastuseks sõnalised kategooriad.

responsesAreSounds? <no> "" "" "" "" 0 0 0

Vastusevariandid tuleb jällegi nuppudena ette anda. Kõigepealt mitu vastusevarianti kokku on:

numberOfDifferentResponses = 9

Vastusevariantide arv sõltub uurimisküsimusest. Kui me eeldame, et siin katses neid stiimuleid tajutakse kolme eesvokaali variandina, siis võiks anda ainult need kolm kategooriat, aga kui me tahame jätta rohkem valikuvariante, siis võime näiteks näidata ka kõiki 9 vokaali (eesti keele puhul).

Iga vastusevariandi kohta tuleb üks rida, mis määrab vastusevariandi asukoha ekraanil, nupule kuvatava teksti ja tulemuste tabelisse kirjutatava väärtuse. Siin katses paigutame nupud umbkaudu vokaalitrapetsile, mis aga päriskatse puhul ei pruugi olla ideaalne nuppude paigutus (eriti, kui tegelikult katses on stiimulitena ainult eesvokaalid).

0.1 0.2 0.7 0.8 "i" 40 "" "i"
0.25 0.35 0.7 0.8 "ü" 40 "" "ü"
0.75 0.85 0.7 0.8 "u" 40 "" "u"
0.2 0.3 0.5 0.6 "e" 40 "" "e"
0.35 0.45 0.5 0.6 "ö" 40 "" "ö"
0.55 0.65 0.5 0.6 "õ" 40 "" "õ"
0.7 0.8 0.5 0.6 "o" 40 "" "o"
0.35 0.45 0.25 0.35 "ä" 40 "" "ä"
0.65 0.75 0.25 0.35 "a" 40 "" "a"

Vastusevariandi neli esimest numbrit on vastusenupu koordinaadid. Katse aken on jagatud proportsionaalselt nii horisontaalteljel kui vertikaalteljel 0–1 nii, et skaalade nullpunktid on vasakul all nurgas. Nuppude koordinaatide esimesed kaks numbrit on nupu küljed x-teljel (vasakult paremale) ning teised kaks numbrit y-teljel (alt üles).

Vastuse nuppude asukoht ekraanil x-y koordinaatidega.

Joonis 18.3. Vastuse nuppude asukoht ekraanil x-y koordinaatidega.

Seejärel on igal real esimestes jutumärkides tekst, mida kuvatakse nupu peale. Number 40 tähistab kirja suurust (mida suurem number, seda suurem kiri).

Teistes jutumärkides on märgitud klaviatuuriklahvid, mis vastavad nupule klõpsamisele. Katsetes, kus vastusevariante on kaks (ei/jah, õige/vale, sama/erinev) ja ülesanne on vastata esimese reaktsiooni peale, eelistatakse sageli, et katseisik nupule klikkimise asemel vastab klahvivajutusega ja klahvid paigutatakse nii, et vastusevariant jääb kummagi käe nimetissõrme alla (nt „jah“ vastuseks „s“ ja „ei“ vastuseks „l“). Siin katses praegu täheklahvid võivad vastamist segada, sest vastusevariante on väga palju ja me ei taha, et katseisikud klaviatuurilt neid otsima hakkaks. Seetõttu jätame siia tühjad jutumärgid ja jätame klahvivajutusevõimaluse kasutamata.

Kolmandates jutumärkides on tekst, mis nupulevajutuse peale registreeritakse vastustefaili.

Eksperimendi ekraanipilt.

Joonis 18.4. Eksperimendi ekraanipilt.

Eksperimendi ajal näeb siis ekraan välja selline, nagu joonisel 18.4. Testi vastustele on võimalik lisada ka nn headuskategooriad. See tähendab, et kui testis lastakse näiteks hinnata, kas kuuldud stiimul oli /æ/, /e/ või /i/, siis lisaks vastusele on võimalik hinnata, kas stiimul oli hea või halb vastava kategooria esindaja.

numberOfGoodnessCategories = 0 

Kui headuskategooriaid ei ole (= 0), siis sellega fail lõppeb. Kui kategooriad on, siis tuleb määrata nende nupud. Näiteks lisame viieastmelise likertiskaala:

0.05 0.15 0.05 0.15 "1 (kehv)" 24 ""
0.25 0.35 0.05 0.15 "2" 24 ""
0.45 0.55 0.05 0.15 "3" 24 ""
0.65 0.75 0.05 0.15 "4" 24 ""
0.85 0.95 0.05 0.15 "5 (hea)" 24 ""

18.2 Katse läbiviimine

Kui Emfc-faili kirjutamine on valmis, salvesta see ning ava Praati objektiaknas käsuga Read > Read from file.... Tekib objekt ExperimentMFC, millel on käsk Run. Klõpsa käsku Run ja tee test läbi katseisikuna.

Kui katseisik on katse lõpetanud, Võid eksperimendiakna sulgeda, aga ära vajuta uuesti käsku Run enne, kui tulemused on salvestatud, muidu kirjutatakse need üle. Enne pead tulemused salvestama.

  • Tulemuste salvestamiseks on käsk Extract results. Nüüd tekkis objekt ResultsMFC.
  • Pane ResultsMFC-objektile uus nimi, nt katseisiku ID – mingi kood või initsiaalid (nagu nt tabelis 18.1 on KI001) või kui tulemuste anonüümimine pole oluline, võid ka lihtsalt katseisiku nime panna. Selleks vali objektiakna alt käsk Rename.... ResultsMFC-objekti nimest saab tulemuste tabelis tulba subject väärtus, nii et kui jätad siin objekti nime muutmata, läheb tulemuste tabelisse katseisiku nime reale eksperimendifaili nimi.
  • Võid ResultsMFC-objekti salvestada. Kui kogud tajutesti andmeid rohkem kui ühelt katseisikult, salvesta iga katseisiku ResultMFC objekt eraldi failina, mille nimi on katseisiku ID.
  • Katsetulemuste tabelina salvestamiseks vali käsk Collect to table. Kui katseisikuid on rohkem ja nende ResultsMFC-objektid on salvestatud, ava nad kõik uuesti käsuga Read from file..., vali kõik objektid ning käsk Collect to table teeb neist ühe tulemuste tabeli, kus kõigi katseisikute andmed on koos. Tekkis objekt Table allResults;
  • Tulemusi võib ka Praatis vaadata, Table-objektil käsuga View & Edit.
  • Selle Table-objekti võid salvestada tabelifailiks: Write > Save as tab-separated file.... Vaikimisi lisab Praat sellele laiendi .Table, aga võid selle asemele kirjutada ka .txt. Valikus on ka käsud koma või semikooloniga eristatud väljadega tekstifailina salvestamiseks, mispuhul võid lisada laiendiks .csv.

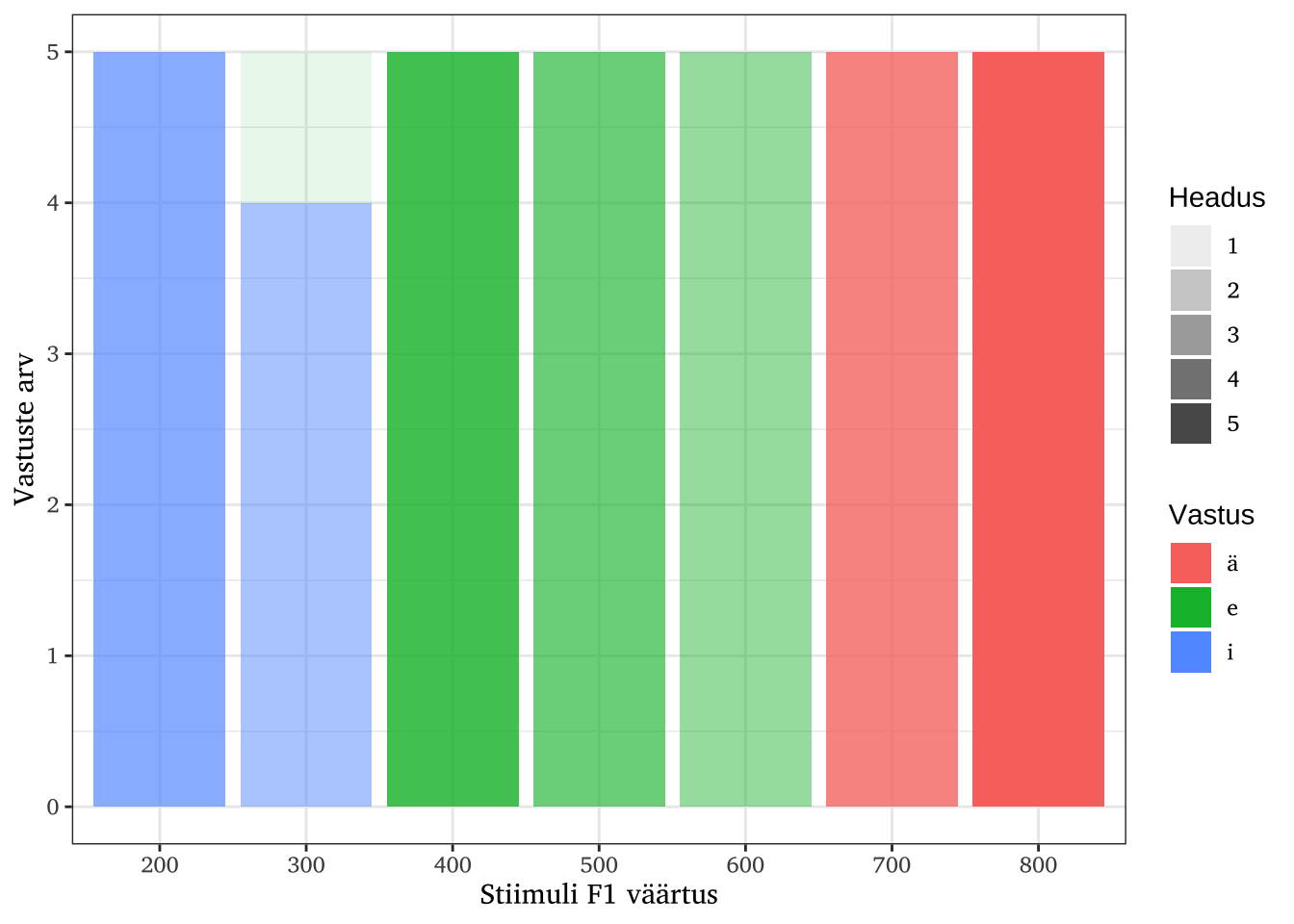
Tulemused salvestatakse tekstifaili tabeliks, kus lahtreid eraldavad tabulaatorid. Esimeses tulbas on katseisiku ID, teises stiimuli nimi, kolmandas katseisiku vastus ja neljandas headusekategooria (kui seda oli küsitud) ja viimases tulbas reaktsiooniaeg (umbes nagu tabelis 18.1). Joonisel 18.5 on üks viis tulemusi esitada tulpdiagrammina nii, et vastuse kategooriat tähistab värv ja headust tumedus.

Tabel 18.1. Tajukatse tulemustefaili esimesed 10 rida.
subject stimulus response goodness reactionTime
KI001 stim_F1_700 ä 3 3.211552
KI001 stim_F1_300 i 4 5.847515
KI001 stim_F1_800 ä 5 1.455215
KI001 stim_F1_200 i 4 1.949044
KI001 stim_F1_500 e 2 1.414598
KI001 stim_F1_400 e 3 1.534946
KI001 stim_F1_600 e 1 2.531868
KI001 stim_F1_300 i 3 2.172520
KI001 stim_F1_700 ä 4 1.351543
KI001 stim_F1_500 e 5 1.948147
Tajukatse tulemused ühe katseisiku põhjal.

Joonis 18.5. Tajukatse tulemused ühe katseisiku põhjal.

18.3 Kui test ei käivitu

Kui oled testi tekstiredaktoris valmis saanud ja üritad seda Praatis käivitada, võib sageli esimene katse lõppeda veateatega. Järgnevalt on esitatud mõningaid näpunäiteid veaotsinguks.

  • Enamasti annab Praat probleemi korral mingi veateate. Kui ekraanile ilmub veateade, loe see läbi. Tihti on kuskil mingi tühine näpuviga, mis kõik ära rikub, ja veateade aitab seda üles otsida. Tihti on veateates kirjas, mitmendal real viga on. Mugav on kasutada Notepad++’i või mõnda sarnast tekstiredaktorit, mis näitavad ridade numbreid. Kui kasutad Praati skriptitoimetit, siis menüüst Search leiad käsu Go to line..., millega veateates osutatud rida üles otsida. Viga võib vahel olla tegelikult ka eelmisel või järgmisel real.
  • Kontrolli, et stiimulite nimed oleksid samad, mis testifailis kirjas.
  • Kontrolli, et stiimulfailide laiendid oleks samad, mis testifailis. Windowsil on tüütu komme peita faililaiendeid. Kontrolli, et see seade oleks välja lülitatud. Ava Windows Explorer. Menüü Tools > Folder Options > View. Vaata, et kastis „Hide extensions for known file types“ ei ole linnukest ja klõpsa OK. Nüüd kontrolli üle stiimulite nimed. Kui failinimi on nüüd nt stiimul1.wav.wav, siis kustuta üks neist .wav-idest ära.
  • Kontrolli, et stiimulitekausta aadress oleks õige. Real stimulusFileNameHead peab kausta-aadress alati lõppema kaldkriipsuga, sest see eraldab failinime kaustanimest. Stiimuleid otsitakse nii, et pannakse kokku kausta-aadress + stiimuli nimi + laiend. Kui näiteks stiimulid on kaustas c:\test\stiimulid ja see on kirjutatud ilma kaldkriipsuta lõpus, otsitakse kaustast c:\test faili stiimulidstiimul1.wav. Kui kriips on lõpus, otsitakse c:\test\stiimulid\stiimul1.wav.
  • Kontrolli, et testifaili tekstis ei oleks kirjavigu, puuduvaid või liigseid tühikuid, komasid või jutumärke. Kõik read (v.a 2.) algavad väikese tähega. Kõik muutujate arvulised väärtused on ilma jutumärkideta, sõnalised väärtused jutumärkidega, v.a need, kus on piiratud hulk sobivaid vastusevariante, nt <yes>, <no>, <PermuteBalancedNoDoublets>.
  • Kontrolli, et jutumärgid ei oleks stiliseeritud algavateks ja lõppevateks „ “ sümboliteks, vaid oleks kasutatud sirgeid märke " ".
  • Kontrolli, et failinimedes ei oleks täpitähti ega muid mitte-ASCII sümboleid. Operatsioonisüsteemid kodeerivad tihti täpitähti failinimedes põhitähe ja diakriitiku kombinatsioonina ja skript ei oska seda viia kokku ühetähemärgilise täpitähe sümboliga. Kindlam on täpitähti failinimedes vältida.
  • Kontrolli, et stiimulfailid oleksid ühesugused:
    • sama kvantimissagedusega. Veateade „The sound in file C:/Users/partel/Desktop/stiimulid/stiimul3.wav has a different sampling frequency than some other sound. Cannot start experiment. Command not executed.“ viitab sellele, et mõned stiimulitest on erineva kvantimissagedusega. Uuri järgi, mis on failide kvantimissagedus (sampling frequence): klõpsa objektiaknas nuppu Info (objektiloendi all) ja otsi infoaknast vastav rida. Siis vali sellel hälbival failil objektiaknas menüüst Convert käsk Resample... ja kirjuta ülemisele väljale see väärtus, mis olema peaks, ning salvesta uus Sound-objekt helifailiks vana asemele;
    • ja sama kanalite arvuga. Veateade „The sound in file C:/Users/partel/Desktop/stiimulid/stiimul2.wav has a different number of channels than some other sound.“ viitab sellele, et osad failid on ühekanalilised ehk mono ja osad on kahekanalilised ehk stereo. See võib juhtuda siis, kui algne salvestus oli stereo, aga oled seda Praatis resünteesinud (selle käigus muutub fail monoks). Kõige lihtsam on siis stereofailid ka monoks konvertida: kui Sound on objektiaknas, vali menüüst Convert käsk Convert to mono, ja salvestades kirjuta vana fail üle.