Peatükk 10 Konsonandid

Vokaalide juures oli juba jutuks (vt ptk 9), et vokaalide ja konsonantide eristamist defineerib kaks mittetäielikult kehtivat tunnust: silbilisus ja takistus kõnetraktis. Esiteks erinevalt vokaalidest ei moodusta konsonandid silbituuma ja seega üldiselt ei saa konsonant moodustata iseseisvat silpi.40 Teiseks konsonantide moodustamisel tekib kuskil kõnetraktis ahtus või sulg. Seetõttu on konsonandid vähem sonoorsed kui vokaalid, mille hääldamisel pääseb õhk välja vabalt ilma takistuseta. Samas ka poolvokaalide puhul ei teki kõnetraktis takistust. Konsonantide klassi sees on aga poolvokaalid kõige sonoorsemad, sulghäälikud kõige vähem sonoorsed ja muud konsonandid jäävad nende vahele.

Konsonante kirjeldatakse moodustus- ehk häälduskoha ja moodustus- ehk hääldusviisi järgi. Niimoodi on näiteks konsonantide kirjeldus korrastatud IPA tabelis. Tabelis 10.1 on eesti keeles esinevate konsonantfoneemide kirjeldused IPA ja SAMPA sümbolitega. Tüüpilise kirjelduse kohaselt on eesti keeles 17 konsonantfoneemi (Asu & Teras 2009; Metslang jt 2023: 56). Tabelis 10.1 on lisaks ära toodud velaarne nasaal [ŋ], mis on alveolaarse nasaali allofoon (esineb ainult velaarklusiili kontekstis ehk [ŋk] ühendis, nt sõnas king [kiŋːk]) ning labiovelaarne poolvokaal [w], mis tekib silbipiirile, kui üks silp lõppeb /u/-ga ja järgnev silp algab vokaaliga (nt sõnas kaua [kɑu.wɑ]).

Tabel 10.1. Eesti keele konsonandid.
Ortograafia IPA SAMPA Kirjeldus
p/b p p bilabiaalne helitu klusiil
m m m bilabiaalne nasaal
f f f labiodentaalne helitu frikatiiv
v v v labiodentaalne heliline frikatiiv
t/d t t alveolaarne helitu klusiil
t’ palataliseeritud alveolaarne helitu klusiil
n n n alveolaarne nasaal
n’ palataliseeritud alveolaarne nasaal
ŋ N velaarne nasaal
r r r alveolaarne tremulant
s/z s s alveolaarne helitu frikatiiv
s’ palataliseeritud alveolaarne helitu frikatiiv
š/ž ʃ S postalveolaarne helitu frikatiiv
l l l alveolaarne lateraal
l’ palataliseeritud alveolaarne lateraal
j j j palataalne poolvokaal
k/g k k velaarne helitu klusiil
h h h glotaalne helitu frikatiiv
w w heliline labiovelaarne poolvokaal

Foneemidel võivad olla allofoonid – kontekstist või kõnelejast tingitud erinevad hääldusvariandid, mis aga ei erista tähendust. Lisaks juba mainitud velaarsele nasaalile, mis on /n/-i allofoon, esineb eesti keeles ka mitmeid alveolaarse tremulandi ehk värihääliku /r/ allofoone. Ühelt poolt võib /r/ olla hääldatud puute- või riivehäälikuna [ɾ] või poolvokaalina [ɹ], teiselt poolt on teatav hulk eesti keele kõnelejaid, kes kasutavad hoopis uvulaarset värihäälikut [ʀ].

Selle üle, kas tegu on allofoni või iseseisva foneemiga, otsustatakse selle järgi, kas leidub minimaalpaare, kus ainult see häälik eristab tähendust. Näiteks palatalisatsiooni võiks eesti keeles muidu pidada koartikulatoorseks nähtuseks, mis avaldub alveolaarsetel konsonantidel, kui järgneb /i/, aga tänu lõpukaole on tekkinud minimaalpaarid, kus sõna lõppeb kas palataliseeritud või palataliseerimata alveolaarse konsonandiga ilma, et järgneks vokaal, nt sõnad /pɑlkː/ ja /pɑlʲkː/.41 Kuigi palataliseeritud konsonante loetakse eesti keeles eraldi foneemideks, käsitletakse neid siin õpikus seoses koartikulatsiooniga peatükis 11.3.

Vahepala: segadused eesti keele kirjaviisiga

Maailmas on palju erinevaid kirjaviise, millest osadel pole üldse hääldusega mingit seost (näiteks piltkiri), mõnel on palju keerulisi reegleid (näiteks inglise) ja mõned on enam-vähem häälduslähedane. Eesti keele kirjaviisi võib pidada suhteliselt häälduslähedaseks, kuid on olulisi aspekte, mille osas hääldus ja kirjaviis lahknevad. Süstemaatiliselt ei märgita eesti keele ortograafias väldet ja palatalisatsiooni. Teisalt eristatakse ortograafias mõningaid morfoloogilisi vorme, mis häälduses on homofoonsed (nt da-infinitiivi ning ja-tuletusliite vormid müüa vs. müüja, mõlema hääldus on [myiːjɑ]).

Üldiselt märgitakse kirjas lühikesi häälikuid ühekordse, pikki kahekordse tähega. Seda, kas välde (vt ptk 13.3) on pikk või ülipikk, otsustatakse konteksti ja keeleteadmise põhjal. Seega, kui on kirjutatud sõna jaama, ei tea me, kas lugeda seda teisevältelisena /jɑɑmɑ/ (omastava käände vormina) või kolmandavältelisena /jɑɑːmɑ/ (osastava või sisseütleva käände vormina). Me saame seda teada alles siis, kui sõna on kontekstis: nt käisin jaama puhvetis või rong sõitis jaama.

Süsteemi muudab keerulisemaks see, et sulghäälikuid on otsustatud teistmoodi märkida. Ladina tähestikus on tähed b, d, g heliliste ja p, t, k helitute klusiilide märkimiseks. Heliline tähendab seda, et hääldamise ajal häälekurrud vibreerivad, helitu hääliku hääldamise ajal ei vibreeri. Kuna eesti keeles ei ole klusiilidel helilise ja helitu vastandust (inglise keeles on sõnades banana ja potato esimene häälik erinev, eesti keele sõnades banaan ja porgand on esimene häälik sama), on hakatud n-ö vabaks jäänud tähemärke kasutama pikkuse märkimiseks. Klusiile märgitakse nii, et lühikest helitut häälikut tähistab täht, mis peaks tähistama helilist häälikut (b, d, g), pikka märgitakse ühekordse tähega (p, t, k) ja ülipikka kahekordse tähega (pp, tt, kk). Sedasi aga igal pool mujal kui sõna alguses, kus lühikest klusiili märgitakse tähtedega p, t, k. Täiendava erandina lisab segadust see, et uuemates laensõnades kirjutatakse lähtekeele eeskujul ka sõna alguses b, d, g, aga hääldama peaks neid ikka helituna (nt sõnad buss ja puss peaksid olema homofoonid hääldusega [pusʲː]).

Sarnaselt klusiilidele on erandlik võõrsõnatähtede f ja š ortograafia: lühikesena neid mujal kui sõnaalguses ei esine ja kuna neil saab olla kaks pikkust – pikk ja ülipikk – märgitakse sõna sees pikk häälik ühekordse ja ülipikk kahekordse tähega. Kokkuvõttes on kirjaviisi tehtud viie hääliku märkimise lihtsustamise nimel oluliselt keerulisemaks.

10.1 Konsonantide akustiline kirjeldamine

Kui vokaalikvaliteeti kirjeldatakse formantide kaudu, mille põhjal on võimalik üsna selgelt nende moodustuskohta määrata, siis konsonantide puhul on akustiline kirjeldamine keerulisem.

Heliliste häälikute kirjeldamisel saab vaadata formantstruktuuri. Nasaalide ja lateraalide puhul tekib spektrisse antiformant ehk sagedusvahemik, mis on summutatud. Nasaalide puhul põhjustab antiformanti see, et käik ninaõõnde on avatud ja tekib suuõõnega antiresonants. Lateraalide puhul tekib suuõõnde täiendav „koobas“, mis antiresonantsi põhjustab (vt täpsemat häälduse kirjeldust pkt 10.5.1).

Frikatiivide puhul kirjeldatakse spektrimomente (vt ptk 8.2.1) – friktsioonimüra energiajaotuse põhjal on võimalik eristada hääliku moodustuskohta.

Kuna klusiilidel on suur osa sulg, mis helitute klusiilide puhul on vaikus, siis seda osa akustiliselt kirjeldada ei saa. Sulu vallandumisel tekib eksplosioonimüra, mille kirjeldamisel võib samuti vaadata spektri momente. Kõige rohkem infot annab klusiili kohta aga üleminek eelmiselt häälikult ja üleminek järgmisele häälikule, mida nimetatakse siireteks, millest on pikemalt juttu peatükis 11.1. Konsonante, eriti klusiile, iseloomustavadki rohkem siirded kui häälik ise.

Lisaks vaadatakse klusiilide puhul helilisusviivet (voice onset time, VOT). See on aeg sulu vallandumisest kuni järgmise (helilise) hääliku helilisuse algamiseni. Kui sulu vallandumise hetk juba on heliline, siis vaadatakse sellest ettepoole kuni klusiili alguseni – helilise klusiili puhul on helilisusviive negatiivne.

10.2 Konsonantide analüüs Praatis

  • Lae alla failid konsonandid.wav ja konsonandid.TextGrid.42
  • Ava mõlemad failid Praatis (Praati objektiaknas Read > Read from file...).
  • Vali mõlemad objektid (Sound ja TextGrid): klõpsa hiirega ühe peal ja vea teise peale klahvi all hoides või klõpsa ühe peal, vajuta alla CTRL-klahv ja klõpsa teise peal.
  • Ava toimetamisaken (vajuta nuppu View & Edit).

10.3 Klusiilid ehk sulghäälikud

Klusiilide moodustusviis, millele viitab ka eestikeelne nimetus sulghäälikud, on selline, et kõnetraktis tekitatakse sulg. Põhiosa hääliku kestusest hoitakse sulgu kinni ja sel ajal rõhk sulu taga kasvab, sest kopsudest tuleb õhku peale. Akustiliselt on sulufaasi ajal vaikus. Hääliku lõpus sulg vallandatakse ja vallandumisfaasi nimetatakse eksplosiooniks.

Eesti keeles on neli klusiili: alveolaarne /t/, palataliseeritud alveolaarne /tʲ/,43 bilabiaalne /p/ ja velaarne /k/. Eesti klusiilid on helitud. Allofoonselt võivad lühikesed klusiilid helilises kontekstis ka ise helilisena hääldatud olla, aga ei ole konteksti, kus helilisus tähendust eristaks. Kirjapildi järgi eristuvad küll näiteks buss ja puss, aga tavapärase eesti fonoloogilise kirjelduse kohaselt hääldatakse neid sõnu samamoodi (vt Ariste 1953).

Eesti klusiilid on üldiselt ka aspireerimata. Aspireeritud klusiilil (nt inglise ja saksa keeles) järgneb eksplosioonile tugev [h]-laadne kahin. Aspireeritud klusiilidel on helilisusviive (VOT) pikem kui aspireerimata klusiilidel.

Klusiilide akustilised tunnused

  • Helitu klusiili sulufaas on akustiliselt vaikus ja selle faasi põhjal ei ole võimalik klusiile moodustuskoha järgi eristada.
  • Vallandumisfaas on lühike, aga tugev müra, kui õhuvoog, mis sulu vallandumisest liikuma pääseb, hõõrdub kõnetraktis. Eksplosiooni saab kirjeldada energia jaotumise põhjal spektris, mõõdetakse spektrimomente (vt ptk 8.2.1).
  • Klusiili moodustuskohta saab ka kirjeldada järgneva vokaali siirete kaudu.
  • Klusiilide kirjeldamisel mõõdetakse ka helilisusviivet, vt ka Ermus (2024). See on aeg sulu vallandumisest järgneva helilise hääliku perioodilise võnkumise alguseni. Rohkem on VOT oluline aspireeritud ja aspireerimata klusiilide eristamisel, sest aspireeritud klusiilidel järgneb eksplosioonile pikem [h]-laadne hõõrdheli.

10.3.1 Helitu alveolaarne klusiil /t/

Lühike alveolaarne klusiil /t/ sõnas kada.

Joonis 10.1. Lühike alveolaarne klusiil /t/ sõnas kada.

Alveolaarklusiili /t/ moodustamisel surutakse keelelaba vastu hambasompe (alveoole) ja hambaid. Niimoodi tekib sulg, mis akustiliselt on vaikus, nii et spektrogramm on selle koha pealt valge (vt sinisega märgitud lõik joonisel 10.1).

Sulu vallandumisel pääseb sulu taha kogunenud ja survet kogunud õhk järsult liikuma ja tekib lühike vali müra, mida nimetatakse eksplosiooniks (märgitud joonisel punasega). Spektrogrammil on selle koha peal üsna ühtlaselt hall. Eksplosioon kestab enamasti umbes 5–25 millisekundit (ehk 0,005–0,025 sekundit).

Sulu moodustamisel ei peatu õhuvool momentaanselt, mistõttu peale sulu moodustamist võib helilaines näha veel paari nõrka võnget ja spektrogrammil energiat spektri alumises osas (vt rohelisega märgitud koht joonisel 10.2). Seda nimetatakse preaspiratsiooniks.

Teises (joonis 10.2) ja kolmandas vältes (joonis 10.3), kui klusiil on pikk, pikeneb peamiselt sulufaas ja eksplosioon on üldiselt enam-vähem sarnase kestusega. Siin esitatud näited on loetud ilmekalt üksiksõnadena aeglases tempos. Üldiselt spontaankõnes on kõnetempo kiirem ja häälikute kestused on lühemad.

Pikk alveolaarne klusiil /t/ sõnas kata.

Joonis 10.2. Pikk alveolaarne klusiil /t/ sõnas kata.

Ülipikk alveolaarne klusiil /t/ sõnas katta.

Joonis 10.3. Ülipikk alveolaarne klusiil /t/ sõnas katta.

10.3.2 Helitu bilabiaalne klusiil /p/

Bilabiaalse klusiili /p/ moodustamisel surutakse kokku huuled, tekib sulg, sulu vallandumisel eksplosioon, vt joonisel 10.4.

Bilabiaalne klusiil /p/ sõnas kaba.

Joonis 10.4. Bilabiaalne klusiil /p/ sõnas kaba.

10.3.3 Helitu velaarne klusiil /k/

Velaarne klusiil /k/ sõnas taga.

Joonis 10.5. Velaarne klusiil /k/ sõnas taga.

Velaarklusiili /k/ moodustamisel surutakse keeleselja tagaosa vastu pehmet suulage (velum), nii et tekib sulg ja sulu vallandumisel eksplosioon (vt joonis 10.5).

10.4 Nasaalid

Nasaalide hääldamisel suletakse õhu väljapääs suu kaudu ja hääl pääseb välja nina kaudu. Nasaalid on helilised häälikud. Eesti keeles on bilabiaalne /m/, alveolaarne /n/ (selle allofoonina velaarne [ŋ]) ja alveolaarne palataliseeritud /nʲ/.

Nasaalid on heliliste häälikutena helilaines ja spektrogrammil üsna vokaalide moodi, aga kuna õhuvool suu kaudu on suletud, on nende intensiivsus vokaalidega võrreldes madlam. Suletud suuõõs ja ninaõõnde avanevad kõrvalurked tekitavad antiformante, mis nasaalide spektris avaldub summutatud sagedusvahemikuna.

10.4.1 Bilabiaalne nasaal /m/

Bilabiaalne nasaal /m/ sõnas kama.

Joonis 10.6. Bilabiaalne nasaal /m/ sõnas kama.

Bilabiaalse nasaali /m/ hääldamisel surutakse huuled kokku ja tekib sulg, mistõttu suu kaudu õhk välja ei pääse. Õhk pääseb välja nina kaudu. Häälekurrud vibreerivad ja häälik on heliline. Kuna õhu väljapääs suust on takistatud, siis nasaalide intensiivsus on väiksem kui vokaalidel, seega helilainel on väiksem amplituud. Spektrogrammil (vt joonis 10.6) on näha ka väiksem intensiivsus (spektrogramm on heledam) ja ka formantstruktuur erineb vokaalide omast.

10.4.2 Alveolaarne nasaal /n/

Alveolaarne nasaal /n/ sõnas kana.

Joonis 10.7. Alveolaarne nasaal /n/ sõnas kana.

Alveolaarse nasaali /n/ hääldamisel surutakse keelelaba ja -tipp vastu hambasompe ja hambaid, õhk pääseb välja nina kaudu. Häälik on heliline (vt joonis 10.7).

Häälikul on ka üks allofoon, moodustuskohalt velaarne nasaal [ŋ], mis esineb ainult velaarse klusiili /k/ ees (vt joonis 10.8). See tähendab, et /k/ ees ei tekitata nasaali sulgu mitte keelelaba ja hambasompude vahel vaid keeleselja tagaosa ja pehme suulae vahel. See on aga allofoon, mitte eraldi foneem, sest esineb ainult ühes kontekstis, kus jällegi tavaline alveolaarne allofoon ei esine, ja seetõttu ei ole minimaalpaare, kus [n] ja [ŋ] eristaks sõnade tähendust.

Velaarne nasaal [ŋ] sõnas kangi.

Joonis 10.8. Velaarne nasaal [ŋ] sõnas kangi.

10.5 Liikvidad ehk sulahäälikud ja poolvokaalid

Liikvidad ehk sulahäälikud moodustavad ühe sonoorsemate konsonantide klassi, mille alla kuuluvad rootikud ja lateraalsed poolvokaalid. Lateraalidest on eesti keeles /l/ ja palataliseeritud /lʲ/. Rootikute alla kuuluvad tremulandid ehk värihäälikud, mida on eesti keeles ainult üks, alveolaarne /r/. Poolvokaalidest esineb foneemina /j/, siirdehäälikuna ka [w], mille kohta vt ptk 11.6.

10.5.1 Alveolaarne lateraal /l/

Alveolaarne lateraal /l/ sõnas ala.

Joonis 10.9. Alveolaarne lateraal /l/ sõnas ala.

/l/-i hääldamisel pannakse keeletipp vastu hambasompe nii, et õhk pääseb vabalt liikuma keele külgedelt või ühelt küljelt. Enamasti ongi /l/ monolateraalne, st õhk liigub ühelt küljelt. See, kummalt küljelt, sõltub põhiliselt kõnelejast, aga akustiliselt see erinevusi ei tekita.

/l/-i võib liigitada ka poolvokaaliks. Kuna see on üks kõige sonoorsemaid konsonante, võib vahel olla akustiliselt raske vokaali ja /l/-i piiri leida (vt joonis 10.9). Tavaliselt on /l/-i intensiivsus siiski pisut väiksem kui vokaalidel ja formantstruktuur ka erinev. Intensiivsuse langust põhjustab /l/-i puhul antiformant, mis tekib keelega suu keskosas tekitatud sulu taha jäävas õõnsuses.

10.5.2 Palataalne poolvokaal /j/

Palataalne poolvokaal /j/ sõnas aja. Siirded on märgitud sinisega.

Joonis 10.10. Palataalne poolvokaal /j/ sõnas aja. Siirded on märgitud sinisega.

Poolvokaal /j/ erineb vokaalist /i/ ainult vähem intensiivse häälduse poolest. Selget piiri vokaalidel ja /j/-il tavaliselt pole, on siirded formantstruktuuris, mis liiguvad sujuvalt ühelt häälikult teisele (vt joonis 10.10). Tavaliselt pannakse vokaali ja /j/-i piir siirde keskele.

10.5.3 Alveolaarne tremulant /r/

Tremulant ehk värihäälik /r/ on üks varieeruvama hääldusega häälikuid, ja seda mitte ainult eesti keeles. Tavalise eesti keele /r/-i moodustamiseks liigub keeletipp vastu hambasompe ehk alveoole, moodustades kiiresti seeria sulge ja ahtusi. Seerias võib olla 5–7 sulufaasi, aga seda pigem püüdlikult selges häälduses. Spontaanses häälduses realiseerub /r/ tihti mitte tremulandi vaid puute- või riivehäälikuna [ɾ] (on ainult üks sulufaas, vt ptk 14.2.7 joonis 14.10) või poolvokaalina [ɹ] (ei tekigi sulgu, keeletipp ainult läheneb hambasompudele, vt ptk 14.2.7 joonis 14.11). Tremulandi (pool)vokaalne osa kõlab švaalaadse keskvokaalina.

Uvulaarne tremulant [ʀ]: üheväringuline realisatsioon sõnas tara.

Joonis 10.11. Uvulaarne tremulant [ʀ]: üheväringuline realisatsioon sõnas tara.

Küllaltki levinud on aga uvulaarne tremulant (ehk rahvapärase nimetusega kurgu-r), mis esineb idiomaatiliselt, st kõneleja eripärana (nagu näiteks siinsel keelejuhil). Üldiselt on eesti keeles normiks apikaalne /r/, uvulaarse variandi kasutajaskonna suurus ei ole täpselt teada.44 Uvulaarse [ʀ]-i puhul väriseb hoopis kurgunibu, aga sarnaselt alveolaarsele variandile võib see realiseeruda üheväringulisena (joonis 10.11), püüdlikus häälduses mitme väringuga (joonis 10.12, kus sulufaasid on märgitud punasega) ning spontaanses kõnes tihti poolvokaalina [ʁ̞].

Uvulaarne tremulant [ʀ]: mitmeväringuline realisatsioon sõnas karru.

Joonis 10.12. Uvulaarne tremulant [ʀ]: mitmeväringuline realisatsioon sõnas karru.

10.6 Frikatiivid ehk hõõrdhäälikud

Frikatiivide ehk hõõrdhäälikute hääldamisel moodustatakse kõnetrakti kitsus ehk ahtus, kust õhk läbi voolates hõõrdub ja tekitab friktsioonimüra ehk hõõrdumiskahin. Enamik eesti keele frikatiive on helitud (/f/, /s/, /sʲ/, /ʃ/, /h/), kuid on ka helilisi (/v/).

Akustiliselt eristuvad frikatiivid vokaalidest selle poolest, et hõõrdumiskahin pole perioodiline. Heliliste frikatiivide puhul muutub siis helilaine „karvaseks“, kuna on kaks hääleallikat: häälekurrud võnguvad ja ahtusest tekib lisaks friktsioonimüra. Helitute frikatiivide puhul on ainult üks hääleallikas: häälekurrud ei võngu ja ahtuses tekkiva friktsioonimüra helilaine on aperioodiline. Sarnaselt klusiilidele võib akustiliselt eristada frikatiivi moodustuskohta energia jaotumise põhjal ja selle kirjeldamiseks mõõta spektraalseid momente. Eriti /s/-i ja /ʃ/ friktsioon on spektri ülemises osas ja spektrogrammil võiks ülemise piiri tõsta kõrgemaks kui tavapärane 5000 Hz.

10.6.1 Labiodentaalsed frikatiivid /v/ ja /f/

Labiodentaale ehk huul-hammashäälikuid moodustatakse nii, et viiakse alahuul vastu ülemisi hambaid. Labiodentaalsete frikatiivide puhul tekitatakse niimoodi ahtus (kitsus), kust õhku läbi voolab, nii et tekib hõõrdumiskahin.

Joonisel 10.13 on heliline labiodentaalfrikatiiv /v/. Kuna selle hääldamisel häälekurrud vibreerivad, on helilaine perioodiline. Võrreldes vokaalidega on /v/ tunduvalt madalama intensiivsusega.

Joonisel 10.14 on helitu /f/. Selle hääldamisel häälekurrud ei võngu ja heli tekitab ainult õhuvoo hõõrdumine, st helilaine on korrapäratu hõõrdumiskahin. Eesti keeles on /f/ võõrhäälik, st esineb ainult uuemates laensõnades ja vokaalidevahelises positsioonis ei saa see olla lühike (ortograafias ühe tähega kirjutades tähistab see pikka häälikut).

Heliline labiodentaalne frikatiiv /v/ (pseudo)sõnas avva.

Joonis 10.13. Heliline labiodentaalne frikatiiv /v/ (pseudo)sõnas avva.

Helitu labiodentaalne frikatiiv /f/ (pseudo)sõnas afa.

Joonis 10.14. Helitu labiodentaalne frikatiiv /f/ (pseudo)sõnas afa.

10.6.2 Helitu alveolaarne frikatiiv /s/

Helitu alveolaarne frikatiiv /s/ sõnas ase.

Joonis 10.15. Helitu alveolaarne frikatiiv /s/ sõnas ase.

/s/-i hääldamisel surutakse keelelaba küljed vastu hambasompe nii, et keelelaba ja hambasompude keskkoha vahele jääb kitsuke pilu. Sealt õhku läbi surudes õhuvoog hõõrdub ja tekib hõõrdumiskahin (vt joonis 10.15).

Tavapärase kirjelduse järgi (Ariste 1953) hääldatakse z nagu [s] ja helilist foneemi /z/ ei ole. /s/ on eesti keeles enamasti helitu, samas võib helilises kontekstis /s/ häälduda helilisena (vt nt 14.1).

10.6.3 Helitu postalveolaarne frikatiiv /ʃ/

Helitu postalveolaarne frikatiiv /ʃ/ sõnas tuši.

Joonis 10.16. Helitu postalveolaarne frikatiiv /ʃ/ sõnas tuši.

/ʃ/ moodustuskoht hambasompude ja kõva suulae vahel on pisut tagapoolsem kui /s/-il, lisaks on ahtus veidi avaram ning kaasatud võivad olla ka huuled (vt joonis 10.16). Nagu /f/ esineb /ʃ/ ainult uuemates laensõnades ja lühikesena ainult sõna alguses, muidu ainult pika või ülipikana. Tavapärase eesti keele kirjelduse järgi hääldatakse ž nagu [ʃ] ja helilist foneemi /ʒ/ eesti keeles ei ole.

10.6.4 Helitu glotaalne frikatiiv /h/

Helitu glotaalne frikatiiv /h/ sõnas ahi.

Joonis 10.17. Helitu glotaalne frikatiiv /h/ sõnas ahi.

Kõris moodustatakse kitsus, kust õhu läbi liikudes tekib hõõrdumiskahin (vt joonis 10.17). Spontaanses kõnes muutub vokaalide vahel lühike /h/ enamasti heliliseks (vt selle kohta Teras 2018).

10.6.5 Frikatiivide võrdlemine spektrimomentide põhjal

Konsonantide kirjeldamiseks kasutatakse nelja spektritunnust, mida nimetatakse spektri momentideks (vt ptk 8.2.1). Kõige sagedamini kasutatakse spektri momente frikatiivide kirjeldamiseks, kuna frikatiivide puhul on tegemist õhuvoo hõõrdumise tekitatud müraga. Spektri momendid kirjeldavad seda, kuidas müra spektris on jaotatud:

  1. gravitatsioonikese (centre of gravity) näitab, mis sagedusel on spektri energiajaotuse keskmine;
  2. standardhälve (standard deviation) näitab, kui palju energiajaotus gravitatsioonikeskmest hälbib, st kas energia on pigem koondatud gravitatsioonikeskme ümber (standardhälve on väike) või on ühtlaselt jaotatud üle kogu spektri (standardhälve on suur);
  3. asümmeetriakordaja (skewness) näitab spektri kallet: kuidas on tasakaalus gravitatsioonikeskmest üles- ja allapoole jäävad osad;
  4. järskuskordaja (kurtosis) näitab, kui palju erineb gravitatsioonikeskme ümber jääv energiajaotus normaaljaotusest.
Konso-
nant
Gravitatsiooni-
kese
Standard-
hälve
Asümmeetria-
kordaja
Järskus-
kordaja
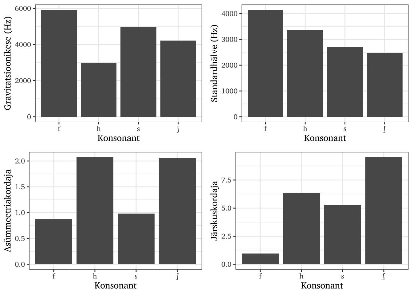
Tabel 10.2. Frikatiivide spektrimomendid.
f 5921 4146 0.874 0.954
s 4944 2722 0.982 5.312
ʃ 4217 2469 2.052 9.520
h 2969 3371 2.071 6.315
Helitute frikatiivide spektrimomendid.

Joonis 10.18. Helitute frikatiivide spektrimomendid.

Tabelis 10.2 on siin vaadeldud viie frikatiivi spektri momendid, mida on mõõdetud iga hääliku 40 ms pikkusest lõigust konsonandi keskelt. Siin aga peab jällegi meeles pidama, et tegemist on kvantitatiivse kirjeldusmeetodiga ja järeldusi ei tohiks teha ühe mõõtmisjuhu põhjal, nagu siin seda on esitatud.

Et siin on iga konsonandi kohta ainult üks hääldusjuhtum, siis joonisel 10.18 illustreerib tulemusi tulpdiagramm. Kõige kõrgem on gravitatsioonikese /f/-il, millel on ka standardhälve kõige suurem – st hõõrdumiskahin on kõige ühtlasemalt jaotatud üle spektri. Alveolaarsetest frikatiividest /s/-il on natuke kõrgem gravitatsioonikese kui /ʃ/-l ning standardhälve on neil frikatiividest kõige madalamal. See tähendab, et hõõrdumiskahin on põhiliselt koondunud keskmise ümber. Glotaalne frikatiiv /h/ on kõige madalama gravitatsioonikeskmega, aga suurema standardhälbega.

Asümmeetriakordaja põhjal võiks öelda, et /h/ ja /ʃ/ energia jaotus on kõige rohkem ülemiste sageduste poole välja venitatud ning järskuskordaja põhjal, et /f/-i energiajaotus on kõige rohkem normaaljaotuse sarnane ja /ʃ/ oma kõige vähem.

Kirjandus

Ariste, Paul. 1953. Eesti keele foneetika. Tallinn: Eesti Riiklik Kirjastus.
Ariste, Paul. 1963. Nibu r-i levikust. Kodumurre, kd 6, 42–43. Tallinn: Eesti NSV Teaduste Akadeemia Emakeele Selts.
Asu, Eva Liina & Pire Teras. 2009. Illustrations of the IPA. Estonian. Journal of the International Phonetic Association 39(03). 367–372. https://doi.org/10.1017/S002510030999017X.
Ermus, Liis. 2024. The Phonetic Variation of Plosives in Estonian (Dissertationes Philologiae Estonicae Universitatis Tartuensis 53). Tartu: University of Tartu Press.
Metslang, Helle, Mati Erelt, Külli Habicht, Tiit Hennoste, Reet Kasik, Pire Teras, Annika Viht, jt. 2023. Eesti grammatika. Tartu: Tartu Ülikooli Kirjastus. https://doi.org/10.12697/EG.
Teras, Pire. 2018. The phonetic variation of short intervocalic /h/ in Estonian. 883–887. ISCA. https://doi.org/10.21437/SpeechProsody.2018-178.

  1. Siiski, nagu ptk 9 mainitud, on keeli, kus süstemaatiliselt esinevad silbilised konsonandid, ning ka eesti keeles võivad konsonandid mingites olukordades silbiliseks muutuda, nt heliline konsonant helitu frikatiivi järel lehm [lehːm̩].↩︎

  2. On ka hulk afektiivseid mitte i-tüvelisi sõnu, kus esinevad palataliseeritud konsonandid ja tekivad minimaalpaarid mittepalataliseeritud foneemidega, nt /kɑllɑ/ ja /kɑlʲlʲɑ/ või /punu/ ja /punʲu/. Pire Terase märkus.↩︎

  3. Failid leiab repositooriumist https://github.com/partellippus/akustilised-meetodid-foneetikas/tree/main/helifailid.↩︎

  4. Palataliseeritud konsonante käsitletakse ptk 11.3.↩︎

  5. Paul Ariste (1963) väidab, et uvulaarne [ʀ]-i hääldus on levinud eriti Eesti lääneosas.↩︎